Fundamentals of
Transportation/Horizontal Curves
From Wikibooks, the open-content
textbooks collection
< Fundamentals of Transportation
There are no reviewed revisions of this
page, so it may not have been checked for quality.
Jump to: navigation,
search
Horizontal Curves are one of the two important
transition elements in geometric design for highways. A horizontal curve
provides a transition between two tangent strips of roadway, allowing a vehicle
to negotiate a turn at a gradual rate rather than a sharp cut. The design of
the curve is dependent on the intended design speed for the roadway, as well as
other factors including drainage and friction. These curves are semicircles as
to provide the driver with a constant turning rate with radii determined by the
laws of physics surrounding centripetal force.
|
Contents [hide] |
Fundamental Horizontal Curve Properties
A Horizontal Curve in Oslo, Norway
When a vehicle makes a turn, two forces are acting upon
it. The first is gravity, which pulls the vehicle toward the ground. The second
is centripetal force, which is an external force required to keep the vehicle
on a curved path. For any given velocity, the centripetal force would need to
be greater for a tighter turn (one with a smaller radius) than a broader one
(one with a larger radius). On a level surface, side friction fs
could serve as a countering force, but it generally would provide very little
resistance. Thus, the vehicle would have to make a very wide circle in order to
negotiate a turn. Given that road designs usually encounter very narrow design
areas, such wide turns are generally discouraged.
To deal with this issue, horizontal curves have roads
that are tilted at a slight angle. This tilt is defined as superelevation, or e,
which is the amount of rise seen on an angled cross-section of a road given a
certain run, otherwise known as slope. The presence of superelevation on a
curve allows some of the centripetal force to be countered by the ground, thus
allowing the turn to be executed at a faster rate than would be allowed on a
flat surface. Superelevation also plays another important role by aiding in
drainage during precipitation events, as water runs off the road rather than
collecting on it. Generally, superelevation is limited to being less than 14
percent, as engineers need to account for stopped vehicles on the curve, where
centripetal force is not present.
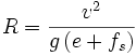
The allowable radius R for a horizontal curve can
then be determined by knowing the intended design velocity V, the
coefficient of friction, and the allowed superelevation on the curve.

With this radius, practitioners can determine the degree
of curve to see if it falls within acceptable standards. Degree of curve, Da,
can be computed through the following formula, which is given in Metric.
![]()
Where:
A Typical Horizontal Curve (Plan View)
Horizontal curves occur at locations where two roadways
intersect, providing a gradual transition between the two. The intersection
point of the two roads is defined as the Point of Tangent Intersection (PI).
The location of the curve's start point is defined as the Point of Curve
(PC) while the location of the curve's end point is defined as the Point
of Tangent (PT). Both the PC and PT are a distance T from the PI,
where T is defined as Tangent Length. Tangent Length can be calculated
by finding the central angle of the curve, in degrees. This angle is equal to
the supplement of the interior angle between the two road tangents.
![]()
Where:
The distance between the PI and the vertex of the curve
can be easily calculated by using the property of right triangles with T
and R. Taking this distance and subtracting off the curve radius R,
the external distance E, which is the smallest distance between the
curve and PI, can be found.

Where:
Similarly, the middle ordinate M can be found. The
middle ordinate is the maximum distance between a line drawn between PC and PT
and the curve. It falls along the line between the curve's vertex and the PI.
![]()
Where:
Curve length L can be determined using the formula
for semicircle length.
![]()
Similarly, the geometric formula for cord length can find
C, which represents the cord length for this curve.
![]()
Limited Curve Sight Distance Ahead
Unlike straight, level roads that would have a clear line
of sight for a great distance, horizontal curves pose a unique challenge.
Natural terrain within the inside of the curve, such as trees, cliffs, or
buildings, can potentially block a driver's view of the upcoming road if placed
too close to the road. As a result, the acceptable design speed is often
reduced to account for sight distance restrictions.
Two scenarios exist when computing the acceptable sight
distance for a given curve. The first is where the sight distance is determined
to be less than the curve length. The second is where the sight distance
exceeds the curve length. Each scenario has a respective formula that produces
sight distance based on geometric properties. Determining which scenario is the
correct one often requires testing both to find out which is true.
Given a certain sight distance S and a known curve
length L and inner lane centerline radius Rv, the
distance a sight obstraction can be from the interior edge of the road, Ms
can be computed in the following formulas.
![]()
![]()
Problem:
A curving roadway has a design speed of 110 km/hr. At one
horizontal curve, the superelevation has been set at 6.0% and the coefficient
of side friction is found to be 0.10. Determine the minimum radius of the curve
that will provide safe vehicle operation.
Solution:

Example 2: Determining Stationing
Problem:
A horizontal curve is designed with a 600 m radius and is
known to have a tangent length of 52 m. The PI is at station 200+00. Determine
the stationing of the PT.
Solution:
What is known for this problem
![]()
![]()
![]()
![]()
![]()
![]()
Example 3: Stopping Sight Distance
Problem:
A very long horizontal curve on a one-directional
racetrack has 1750-meter centerline radius, two 4-meter lanes, and a 200 km/hr
design speed. Determine the closest distance from the inside edge of the track
that spectators can park without impeding the necessary sight distance of the
drivers. Assume that the sight distance is less than the length of the curve, a
coefficient of friction of 0.3, and a perception-reaction time of 2.5 seconds.
Solution:
With a centerline radius of 1750 meters, the centerline
of the interior lane is 1748 meters from the vertex (1750 - (4/2)). Using the
stopping sight distance formula (See Sight Distance), SSD
is computed to be 664 meters. With this, the distance from the track that
spectators can be parked can easily be found.

Problem
Horizontal curves are semicircles, as to allow the driver
to negotiate the curve without having to change the tilt of the wheel while
passing through. However, what happens at the PC or PT, where tangent road
transitions to a curve or vice versa. Is the driver expected to abruptly turn
the wheel to match the curve or tangent?
Solution
Generally not. Engineers employ several techniques to
allow drivers to gradually turn the wheel as they enter or leave the curve. One
of the more popular ways is to use Splines. Splines are polynomial curves that
have changing rates of curvature. Employed at the PC and PT, Splines take away
any sharp changes for the drivers and make the drive a more pleasant one.
Retrieved from "http://en.wikibooks.org/wiki/Fundamentals_of_Transportation/Horizontal_Curves"
Subject: Fundamentals of Transportation